论文已发表
注册即可获取德孚的最新动态
IF 收录期刊
Original Research
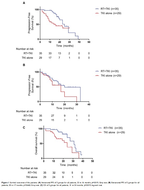
EGFR-TKIs 联合颅脑放疗对 EGFR 激活突变和脑转移的 NSCLC 患者的一线治疗效果:一项回顾性研究

Original Research
非小细胞肺癌患者对化疗的优选项:在中国的多中心离散选择实验(DCE)研究

Original Research
来自 β 细胞的外泌体减轻了链脲佐菌素诱导的糖尿病小鼠胰岛中的高血糖症并有助于加强血管生成

Original Research
手术安全性清单对胃癌治疗效果的影响:单中心回顾性研究

Review
microRNA-22 对于癌症生存率的优势和临床病理学意义:一项荟萃分析

Original Research
顺铂诱导的 miR-425-3p 的外体转移通过激活自噬使 NSCLC 具有顺铂耐药性
