论文已发表
注册即可获取德孚的最新动态
IF 收录期刊
Original Research
长非编码 RNA H19 通过激活自噬参与牙周组织炎症

Original Research
靶向 HMGB1 的 CircCFL1/MiR-107 轴可促进弥漫性大型 B 细胞淋巴瘤肿瘤的恶性进展

Original Research
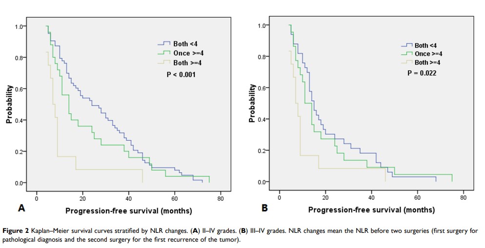
中性粒细胞与淋巴细胞的比率及其变化与 II–IV 级神经胶质瘤复发有关

Original Research
MicroRNA-139 通过靶向 SOX8 抑制三阴性乳腺癌细胞的致瘤性

Original Research
miR-758-3p 抑制肾透明细胞癌的增殖、迁移和侵袭并预测其预后良好

Review
分子成像技术在免疫治疗中的应用及前景
