论文已发表
注册即可获取德孚的最新动态
IF 收录期刊
Review 简明总结
在以人为本的痴呆症护理中了解护理人员与护理对象之间的相互作用:一个简短回顾

Original Research
采用网片系统的全盆腔底重建术治疗严重盆腔器官脱垂患者的主观和客观评价:1 年回顾性研究

Original Research
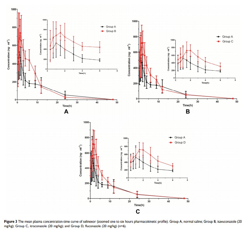
采用 UPLC-MS/MS 方法测定艾沙康唑、伊曲康唑和氟康唑对 Selinexor 在大鼠体内药代动力学的影响

Original Research
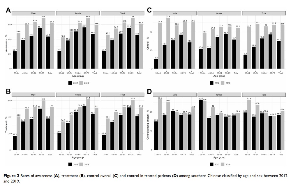
2012-2019 年中国华南地区高血压状况的趋势

Original Research
超声引导下单侧腹横肌平面阻滞联合腹直肌鞘阻滞与蛛网膜下腔麻醉用于腹膜透析导管手术患者的对比:一项随机前瞻性对照试验

Original Research
人际交往中的负偏差效应:为什么人们低估了他们给别人留下的积极印象
