论文已发表
注册即可获取德孚的最新动态
IF 收录期刊
Case Report
伴重排丢失的肺腺癌在克唑替尼和赛瑞替尼治疗期间 COX7A2L–ALK 、LINC01210–ALK 、ATP13A4–ALK 及获得性 SLCO2A1–ALK 共存:一份病例报告

Original Research
针对具 IQ 基序的 GTPase 激活蛋白家族的综合分析表明,IQGAP3-PIK3C2B 轴可促进结肠癌的侵袭

Original Research
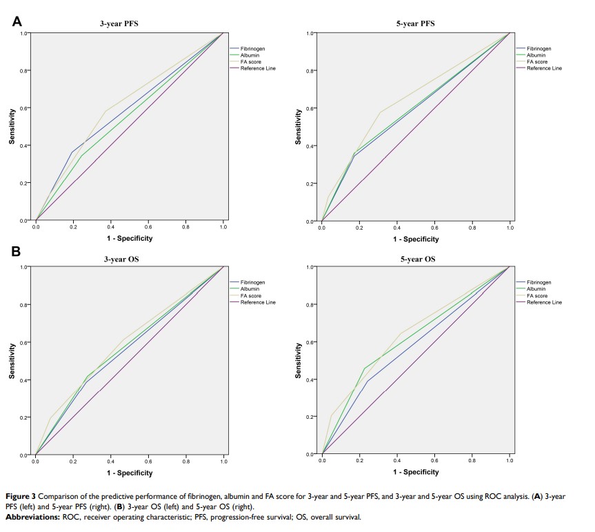
基于术前纤维蛋白原和白蛋白水平的累积评分对颅底脊索瘤的预后价

Original Research
lncRNA MAFG-AS1 通过调节 miR143/LASP1 促进食管鳞状细胞癌进展

Original Research
接受手术治疗的非转移性肾细胞癌患者术前白蛋白与碱性磷酸酶比值的预后价值验证

Original Research
构建乳腺癌的 circRNA 相关性 ceRNA 预后调控网络
