论文已发表
注册即可获取德孚的最新动态
IF 收录期刊
Case Report
在超声和冷冻切片病理诊断中误诊的、起源于浆膜层的胃间质瘤:一份病例报告

Review
长非编码 RNA MALAT1 作为各种人类癌症的检测和诊断的分子标志物:基于 3255 位受试者的汇总分析

Original Research
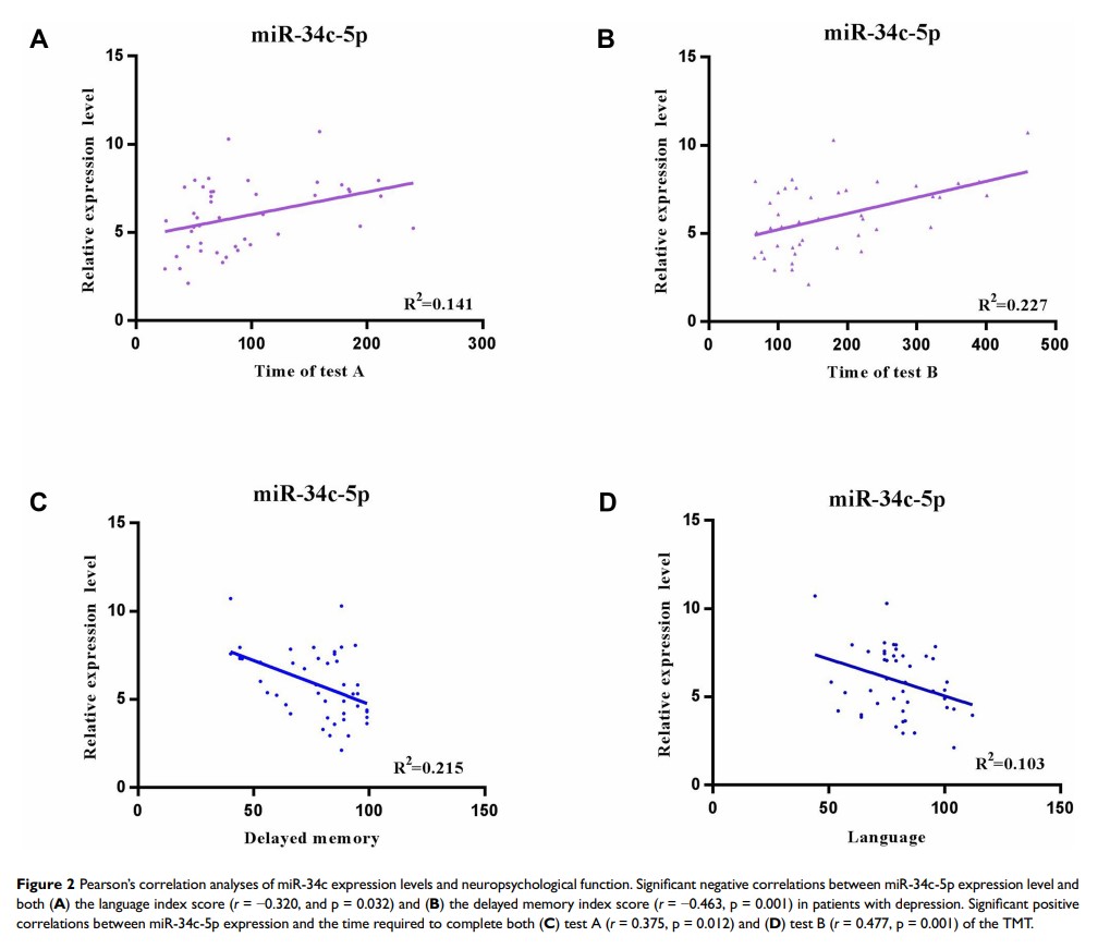
microRNA-34b/c 的表达和遗传变异对重度抑郁症患者认知功能的影响

Original Research
PLGA 封装的表没食子儿茶素没食子酸酯(EGCG)可增强对肺癌的化疗功效

Original Research
接触低剂量二氧化硅纳米颗粒通过神经活性配体-受体相互作用信号通路诱导斑马鱼胚胎中的神经毒性

Original Research 视频
慢性阻塞性肺疾病急性加重期的抑郁和/或焦虑的多因素分析
