论文已发表
注册即可获取德孚的最新动态
IF 收录期刊
Original Research
CFTR 通过抑制 NF-κB 信号通路来调节宫颈癌细胞的增殖、迁移和侵袭

Original Research
RARβ 基因 DNA 甲基化作为健康生活方式与乳腺癌之间关联的介质:一项病例对照研究

Original Research
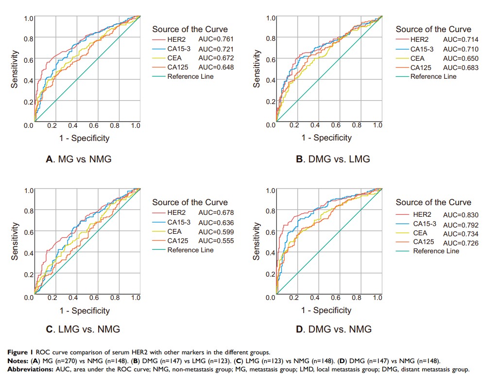
监测血清 HER2 作为转移性乳腺癌患者的预测生物标志物的价值

Review
新辅助化疗对乳腺癌的疗效评估

Original Research
GALR1 基因 5'-非翻译区多态性与中国北方汉族人群精神分裂症之间的关联:一个病例对照研究

Original Research
福建酸竹提取物通过硫氧还蛋白 1 的正向调节,在体外减轻紫外线诱导的皮肤细胞损伤
