论文已发表
注册即可获取德孚的最新动态
IF 收录期刊
Original Research
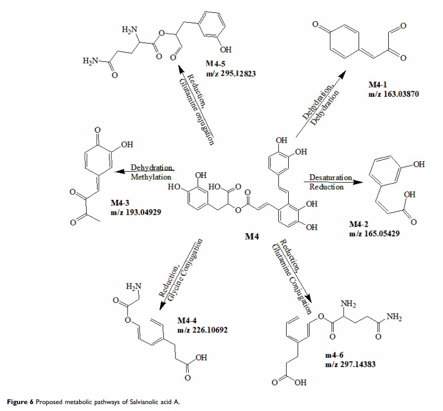
基于 UHPLC-MS/MS 和 UHPLC-Q-Orbitrap HRMS 的肾康注射液在大鼠体内的药代动力学和代谢研究

Original Research
MicroRNA-766 通过靶向 PDCD5 促进皮肤鳞状细胞癌细胞的增殖、迁移和侵袭,并抑制其细胞凋亡

Original Research
干扰宫颈癌细胞中人乳头瘤病毒 E6/E7 癌基因,可通过增加衍生自宫颈癌细胞的微囊泡中的 miR-377 抑制血管内皮细胞的血管生成

Original Research
基于术前 CYFRA 21-1 和 SCC-Ag 的肿瘤标志物指标对评估食管鳞状细胞癌患者预后和治疗效果的临床价值

Original Research
布鲁顿氏酪氨酸激酶(BTK)抑制剂(依鲁替尼)抑制前列腺癌的迁移和侵袭

Original Research
Rab18 通过 STAT3 信号传导调节头颈部鳞状细胞癌的增殖、侵袭和顺铂敏感性
