论文已发表
注册即可获取德孚的最新动态
IF 收录期刊
Clinical Trial Report
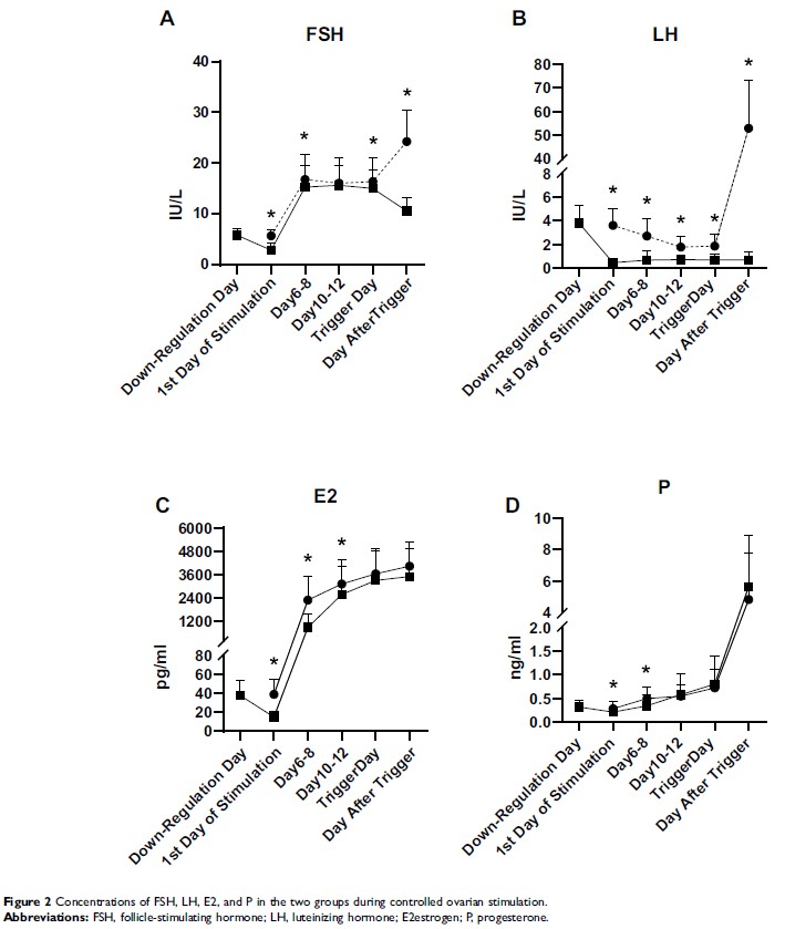
根据第一个 IVF/ICSI 周期的临床结果对 PPOS 和 GnRHa 超长方案的比较:一项随机临床试验

Original Research
借助含亮氨酸的聚乙烯亚胺实现由叶酸介导的 siPLK1 靶向递送

Original Research
上转换纳米粒子分子天线增敏实现温度监控的光热疗

Original Research
血清 CC16 浓度降低与慢性阻塞性肺疾病的严重程度有关,并有助于疾病的诊断和评估

Original Research
miR-629 的表达升高预示不良预后并促进骨肉瘤的细胞增殖、迁移和侵袭

Original Research
HNF1α 功能的丧失通过下调 miR-122 促进肝细胞增殖和胆固醇代谢异常:MODY3 的新机制
