-
Original Research

- 作者:陈学深,古惠珊,陈伟文,苏洁莹,林志良,陈利,谭卓贤,余卫祖
- 期刊:International Journal of Chronic Obstructive Pulmonary Disease
-
Original Research

- 作者:Jie Song, Yue-Qin Xue, Ming-Ming Zhao, Peng Xu
- 期刊:OncoTargets and Therapy
-
Original Research

- 作者:Hongen Lei, Huixi Li, Long Tian, Meng Li, Zhongcheng Xin, Xiaodong Zhang, Ruili Guan
- 期刊:Drug Design, Development and Therapy
-
Short Report

- 作者:Julius Mugweru, Jianxiong Liu, Gaelle Makafe, Gift Chiwala, Bangxing Wang, Changwei Wang, Xinjie Li, Yaoju Tan, Wing Wai Yew, Shouyong Tan, Tianyu Zhang
- 期刊:Infection and Drug Resistance
-
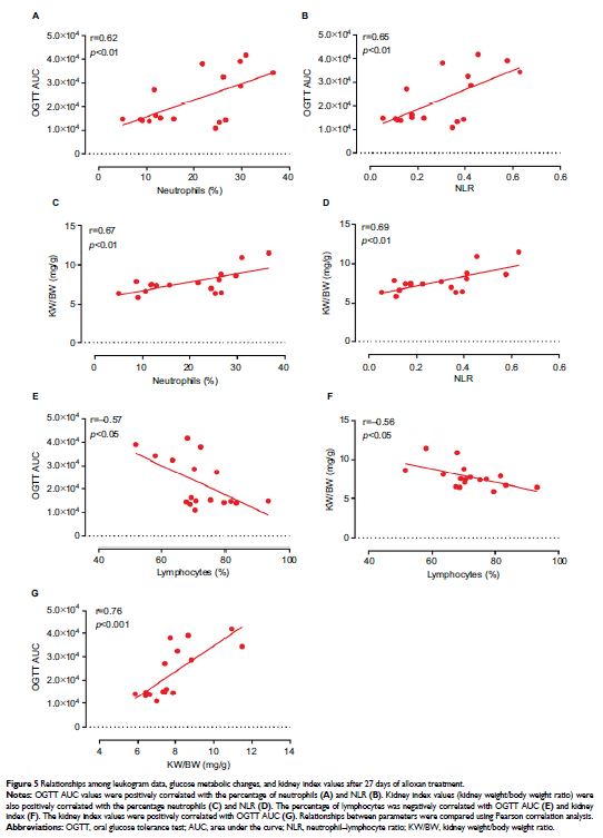
Original Research

- 作者:Gaoxiong Yang, Rui Yan, Huanjun Tong, Jitai Zhang, Bin Chen, Xiangyang Xue, Jue Wang, Maoping Chu, Shengwei Jin, Ming Li
- 期刊:Diabetes, Metabolic Syndrome and Obesity: Targets and Therapy
-
Original Research

- 作者:Feng Shao, Wei Qi, Fu Tao Meng, Lujun Qiu, Qiang Huang
- 期刊:Cancer Management and Research