-
Origianl Research

- 作者:Muhua Huang, Fuqing Zhou, Lin Wu, Bo Wang, Hui Wan, Fangjun Li, Xianjun Zeng, Honghan Gong
- 期刊:Neuropsychiatric Disease and Treatment
-
Original Research

- 作者:Ping Xue, Min Wang, Guanhua Yan
- 期刊:Therapeutics and Clinical Risk Management
-
Original Research

- 作者:Fuqing Zhou, Yanlin Zhao, Muhua Huang, Xianjun Zeng, Bo Wang, Honghan Gong
- 期刊:Neuropsychiatric Disease and Treatment
-
Original Research

- 作者:Lingyun Diao, Shengying Wang, Zhiguang Sun
- 期刊:OncoTargets and Therapy
-
Original Research

- 作者:Xiuhong Yuan, Taohua Liu, Di Wu, Qiquan Wan
- 期刊:Infection and Drug Resistance
-
Original Research

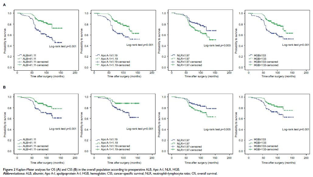
- 作者:Zhenhua Shang, Jukun Wang, Xu Wang, Hao Yan, Bo Cui, Chunsong Jia, Qi Wang, Xin Cui, Jin Li, Tongwen Ou
- 期刊:Cancer Management and Research