-
Original Research

- 作者:蒲芳芳,郭悦,李鸣,朱宏,王世杰,沈曦,何苗,黄承钰,何方
- 期刊:Clinical Interventions in Aging
-
Review

- 作者:Christopher Iriarte, Olabola Awosika, Monica Rengifo-Pardo, Alison Ehrlich
- 期刊:Clinical, Cosmetic and Investigational Dermatology
-
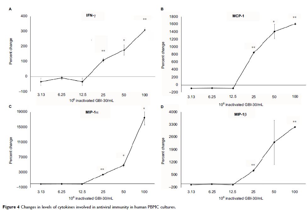
Original Research 简明总结

- 作者:Gitte S Jensen, Howard A Cash, Sean Farmer, David Keller
- 期刊:Journal of Inflammation Research
-
Original Research

- 作者:Shihui Fu, Shanjing Zhou, Leiming Luo, Ping Ye
- 期刊:Clinical Interventions in Aging
-
Original Research

- 作者:Xuemei Zhang, Xuejuan Li, Hongchen Hua, Aiping Wang, Wanhui Liu, Youxin Li, Fenghua Fu, Yanan Shi, Kaoxiang Sun
- 期刊:International Journal of Nanomedicine
-
Original Research

- 作者:Xiaoying Lei, Ke Li, Yan Liu, Zhen Yu Wang, Ban Jun Ruan, Li Wang, An Xiang, Daocheng Wu, Zifan Lu
- 期刊:International Journal of Nanomedicine