-
Original Research

- 作者:Han Luo, Hongliu Yang, Tao Wei, Yanping Gong, Anping Su, Yu Ma, Xiuhe Zou, Jianyong Lei, Wanjun Zhao, Jingqiang Zhu
- 期刊:Therapeutics and Clinical Risk Management
-
Original Research

- 作者:Xiaobing Qin, Shaorong Yu, Leilei Zhou, Meiqi Shi, Yong Hu, Xiaoyue Xu, Bo Shen, Siwen Liu, Dali Yan, Jifeng Feng
- 期刊:International Journal of Nanomedicine
-
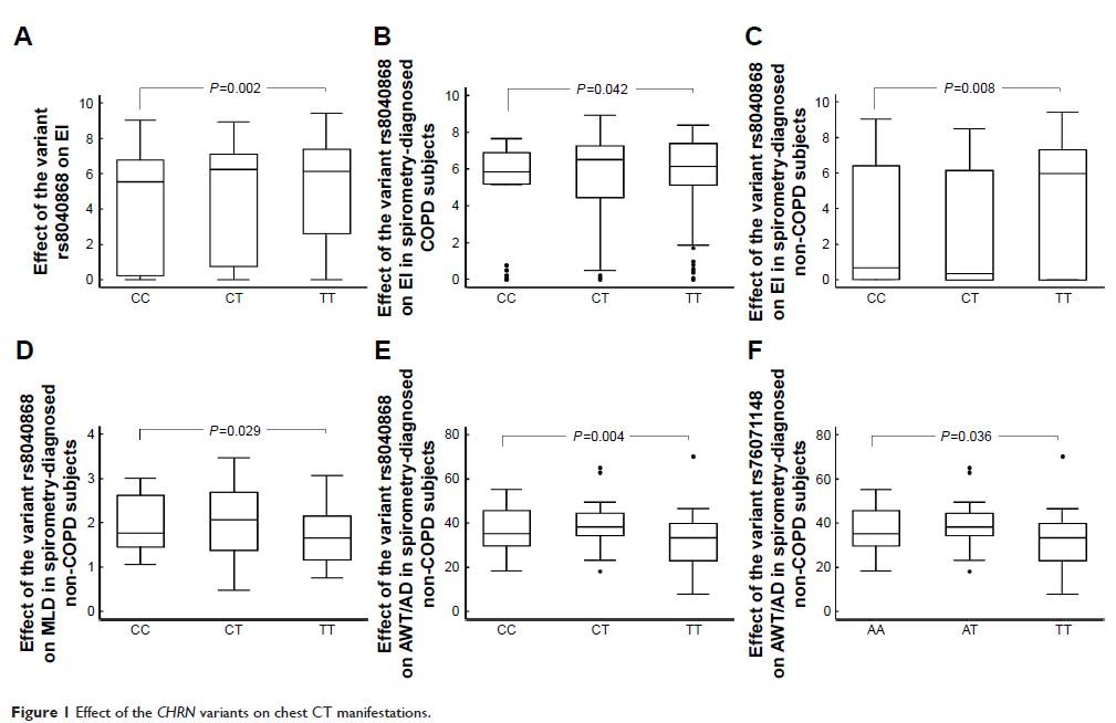
Original Research

- 作者:Zhuxiang Zhao, Changbin Jiang, Dongxing Zhao, Yujun Li, Chunxiao Liang, Weifeng Liu, Shuquan Wei, Yumin Zhou, Ziwen Zhao, Pixin Ran
- 期刊:International Journal of Chronic Obstructive Pulmonary Disease
-
Original Research

- 作者:E Du, Lin Wang, Chang-ying Li, Chang-wen Zhang, Yan-chun Qu, Ran-lu Liu, Yong Xu, Kuo Yang, Zhi-hong Zhang
- 期刊:OncoTargets and Therapy
-
Original Research

- 作者:Hong Tang, Yufeng Wu, Yanru Qin, Hongyan Wang, Yongxu Jia, Shujun Yang, Suxia Luo, Qiming Wang
- 期刊:OncoTargets and Therapy
-
Original Research

- 作者:Xiao Hu, Fang Tan, Lan Gong
- 期刊:Drug Design, Development and Therapy