论文已发表
注册即可获取德孚的最新动态
IF 收录期刊
Authors Chen SW, Zhang Q, Guo ZM, Chen WK, Liu WW, Chen YF, Li QL, Liu XK, Li H, Ou-Yang D, Chen WC, Fu XY, Wang XD, Yang AK, Bei JX, Song M
Received 16 April 2018
Accepted for publication 16 July 2018
Published 12 October 2018 Volume 2018:10 Pages 4523—4535
DOI https://doi.org/10.2147/CMAR.S171251
Checked for plagiarism Yes
Review by Single-blind
Peer reviewers approved by Dr Colin Mak
Peer reviewer comments 3
Editor who approved publication: Dr Antonella D'Anneo
Background: Global data demonstrate minimal improvement in the survival rate
for oral cavity cancer (OCC) patients. We wished to know whether or not
clinical features and survival rate have changed over time for OCC patients
receiving initial treatment and follow-up at a large cancer center in China.
Methods: Clinical features and survival data were collected on patients
diagnosed during the successive decades of 1960–1969 (n=253), 1970–1979
(n=497), 1980–1989 (n= 659), 1990–1999 (n=793), and 2000–2009 (n=1,160) at the
Sun Yat-sen University Cancer Center.
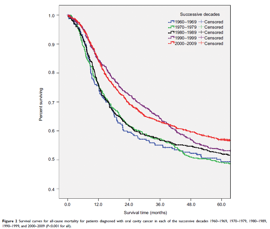
Results: Over time, the overall 5-year survival rate for OCC patients was
52.0%. According to tumor localization, this rate was 71.4% for lip cancer,
56.3% for oral tongue cancer, and 42.7% for other parts of the oral cavity.
From the 1960s to the 2000s, the 5-year survival rate steadily improved from
47.8% to 55.6% (P <0.001). Survival steadily
decreased with age and was higher for women than for men in the 3 most recent
decades. The survival rate for male patients was constant over time, while the
rate for female patients improved dramatically. Obvious trends in clinical
features over time included the following: increasing age of patients,
increasing proportions of localized disease at diagnosis, decreasing
proportions of diagnoses of lip cancer, decreasing proportions of diagnoses of
squamous cell carcinoma, and decreasing proportions of non-surgical treatment
approaches.
Conclusion: The survival rate has steadily improved for OCC patients at this
cancer center.
Keywords: oral cavity cancer, clinical features, survival, treatment
modality
