论文已发表
注册即可获取德孚的最新动态
IF 收录期刊
Original Research
天然产物岩藻依聚糖抑制人卵巢癌细胞的增殖并诱导其凋亡:专注于 PI3K/Akt 信号通路

Original Research
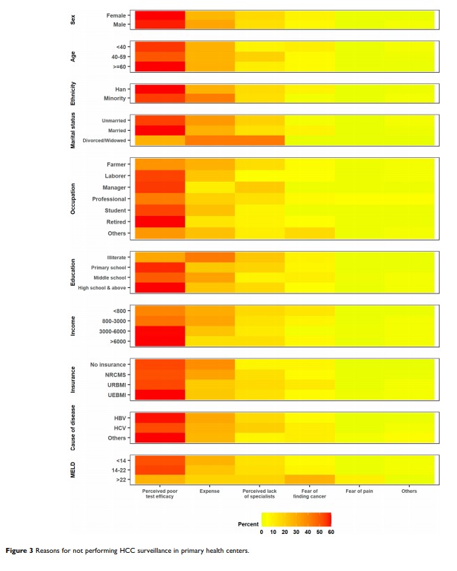
中国云南省高危慢性肝病患者对肝细胞癌监测的依从性和感知障碍

Original Research
大肠癌(≥65 岁)患者的血脂水平升高与癌症特异性死亡率和全因死亡率相关:一项基于人群的前瞻性队列研究

Original Research
在单值梯形中智环境下使用 FMEA 和 MULTIMOORA 方法评估手术风险

Original Research
CSF VEGF 与不依赖于 β-淀粉样蛋白病理的神经颗粒素呈正相关

Original Research
雷公藤甲素通过上调 miR-181b-5p 抑制由 IL22 诱导的 HaCaT 细胞增殖
