论文已发表
注册即可获取德孚的最新动态
IF 收录期刊
Original Research
APOE ϵ4 等位基因与阿尔茨海默氏病患者临床前阶段 CSF VILIP-1 水平升高相关

Original Research
敲除 lncRNA PCAT6 可以通过调节 miR-185-5p/TPD52 轴增强三阴性乳腺癌细胞的放射敏感性

Original Research
长非编码 RNA RMRP 通过靶向 microRNA-766 抑制肝癌的肿瘤发生

Original Research
鉴定 circRNA-miRNA-mRNA 网络以探索肺腺癌的基本机制

Original Research
雷公藤碱通过调节 miRNA-532-5p/CXCL2 轴抑制肝癌细胞的侵袭性

Original Research
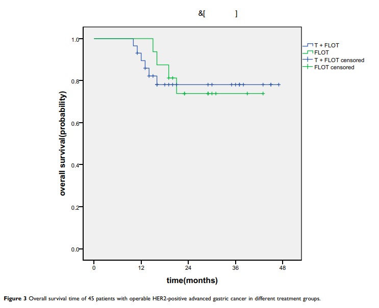
曲妥珠单抗联合围手术期 FLOT 方案治疗可切除的 HER2 阳性晚期胃癌:一项回顾性研究
