论文已发表
注册即可获取德孚的最新动态
IF 收录期刊
Original Research
结直肠癌患者同时性病变的回顾性队列研究

Case Series
在抗结核治疗中,新肺部肿块形成时出现的反常反应:一个病例系列和文献综述

Original Research
一种层层自组装生物活性涂层修饰的纳米纤维膜用于前交叉韧带重建术中腱骨愈合的研究

Original Research 视频
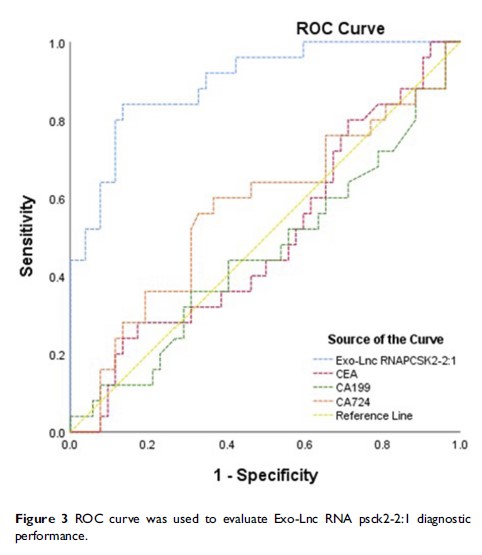
血清外泌体来源的长链非编码 RNA PCSK2-2 :1 作为胃癌辅助诊断标志物的研究

Original Research
LncRNA RGMB-AS1 通过 1200/HOXB2 轴促进神经胶质瘤生长和侵袭

Original Research
XLF 和 53BP1 表达的诱导与胶质母细胞瘤细胞的替莫唑胺耐药性相关
