论文已发表
注册即可获取德孚的最新动态
IF 收录期刊
Original Research
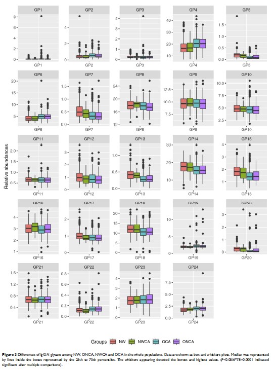
正常 BMI 与中枢肥胖和促炎的免疫球蛋白 G N -糖基化之间的关联

Original Research
有或没有疼痛症状的子宫腺肌病患者的临床表现

Original Research
癌胚抗原联合炎症细胞比值在结直肠癌中的潜在诊断价值

Original Research
Peroxiredoxin 家族在乳腺癌中的预后

Original Research
环状 RNA hsa_circ_0000291 的下调可通过靶向 miR-183/ITGB1 轴抑制胃癌的迁移和增殖

Original Research
PES1 在肝癌中:具有致瘤作用的预后生物标志物
