论文已发表
注册即可获取德孚的最新动态
IF 收录期刊
Original Research
腌菜摄入影响胃癌患者血浆代谢谱

Review
骨肉瘤肿瘤微环境中肿瘤外泌体的信息传递及其生物学意义

Original Research
具有 RGD 修饰的聚合物的双模态造影剂,用于肿瘤靶向的 US/NIRF 成像

Original Research
LncRNA RMRP 通过 miR-613/NFAT5 轴促进非小细胞肺癌的细胞增殖和侵袭

Original Research
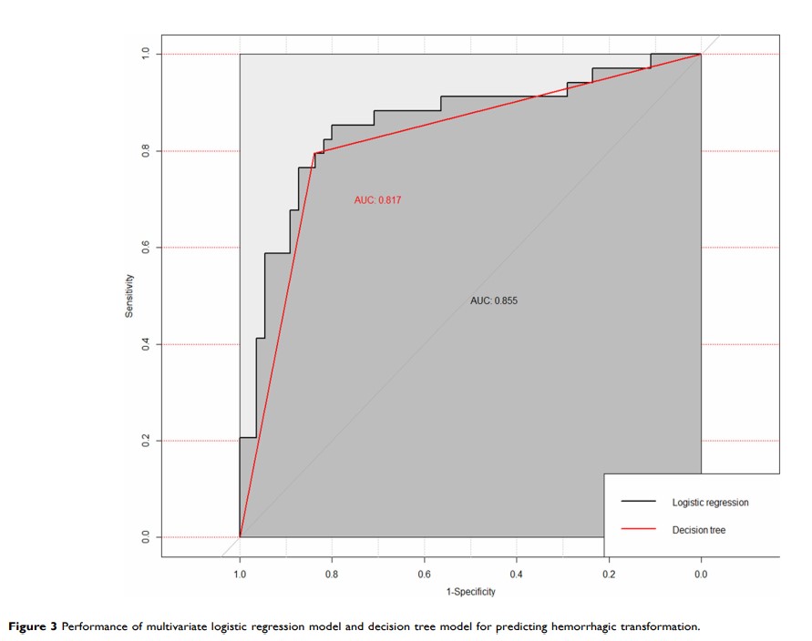
使用决策树模型确定血管腔内治疗后急性缺血性卒中患者出血性转化的预测因素

Original Research
老年股骨转子间骨折手术后的院内术后肺炎:发病率和危险因素
