论文已发表
注册即可获取德孚的最新动态
IF 收录期刊
Original Research
永生化上调蛋白的下调通过调节上皮-间质转化来抑制乳腺癌细胞系的进展

Original Research
EGFR 19Del/L858R 突变中的伴随突变及其与 NSCLC 患者对 EGFR-TKI 反应的关联

Original Research
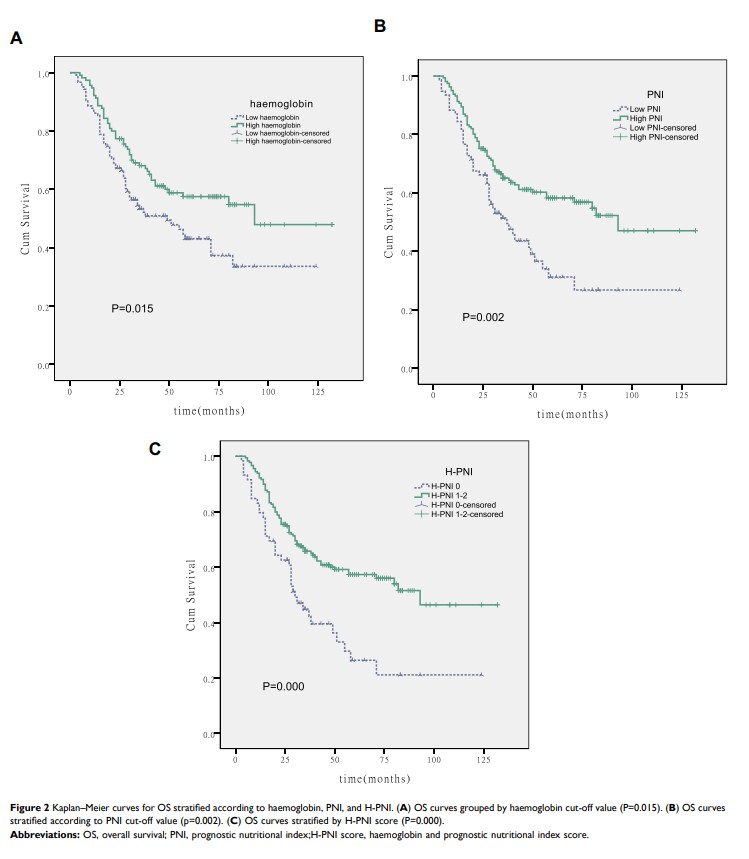
血红蛋白与预后营养指标相结合可预测食管鳞状细胞癌术后放疗的预后

Original Research
AR 和 Wnt 信号之间的串扰促进去势抵抗性前列腺癌的生长

Original Research
Rab14 过表达通过 YAP 信号传导促进非小细胞肺癌的增殖和侵袭

Original Research
卧床休息对急性深静脉血栓形成患者的影响:一项定性研究
