论文已发表
注册即可获取德孚的最新动态
IF 收录期刊
Original Research
COVID-19 流行病对鼻咽癌患者诊断和治疗路径延迟的影响

Original Research
调强放疗结束时存在影像学残留鼻咽癌患者预后情况的列线图预测模型的建立

Original Research 简明总结
Arginine-Modified Polymers Facilitate Poly (Lactide-Co-Glycolide)-Based Nanoparticle Gene Delivery to Primary Human Astrocytes

Original Research
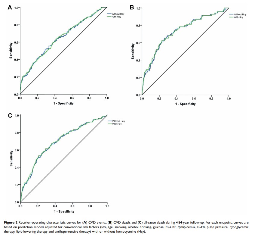
高半胱氨酸与老年人心血管事件和全因死亡风险的关系:一项基于社区的前瞻性队列研究

Original Research
青春期小鼠社交挫败压力对少突胶质细胞谱系细胞和神经炎性介质的长期影响

Original Research
参与 α-倒捻子素对胶原诱导性关节炎治疗作用的外周免疫细胞中胆碱能抗炎通路的激活
