论文已发表
注册即可获取德孚的最新动态
IF 收录期刊
Original Research
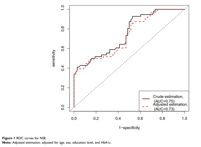
糖尿病性视网膜病变患者血清中神经元特异性烯醇化酶水平的升高与轻度认知障碍相关

Original Research
肥胖糖尿病患者 C-反应蛋白对心脏代谢细胞的有害影响,及代谢手术的纠正作用

Original Research
多发性骨髓瘤和其他原发性恶性肿瘤的同步存在:病例系列和文献回顾

Original Research
弥漫大 B 细胞淋巴瘤合并乙肝病毒感染患者的临床分析和预后意义

Original Research
甘草酸通过诱导细胞周期阻滞和细胞凋亡来抑制胃癌细胞的增殖

Original Research
错配修复与微卫星不稳定性检测之间的一致性评估及其与大肠癌临床病理特征的关联
