论文已发表
注册即可获取德孚的最新动态
IF 收录期刊
Original Research
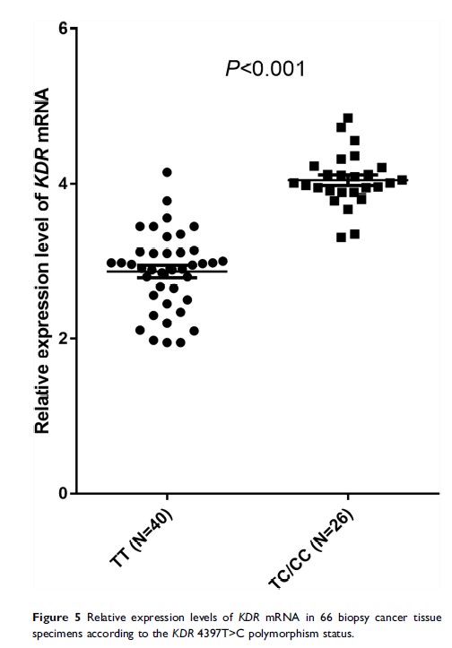
甲磺酸阿帕替尼用于治疗在接受标准治疗后出现发展的晚期非鳞状非小细胞肺癌患者的临床疗效和安全性以及 KDR 基因多态性分析

Original Research
SNHG15 通过 miR-381 海绵化促进乳腺癌的顺铂耐药性

Original Research
FOXK1 在 miR-365-3p 调节下可促进细胞生长和 EMT,显示了乳腺癌的不良预后

Original Research
中国ER阳性乳腺癌中 ESR1 突变的患病率

Original Research
杂交基因组装配及使用纳米孔测序和 Illumina 公司的测序技术验证泛耐药肺炎克雷伯菌菌株

Original Research
较高的全身免疫炎症指数预示接受曲妥珠单抗辅助治疗的人表皮生长因子受体 2 阳性乳腺癌患者的低生存率
