论文已发表
注册即可获取德孚的最新动态
IF 收录期刊
Original Research 视频
毛蕊异黄酮对胃癌前病变大鼠胃黏膜的保护作用

Original Research
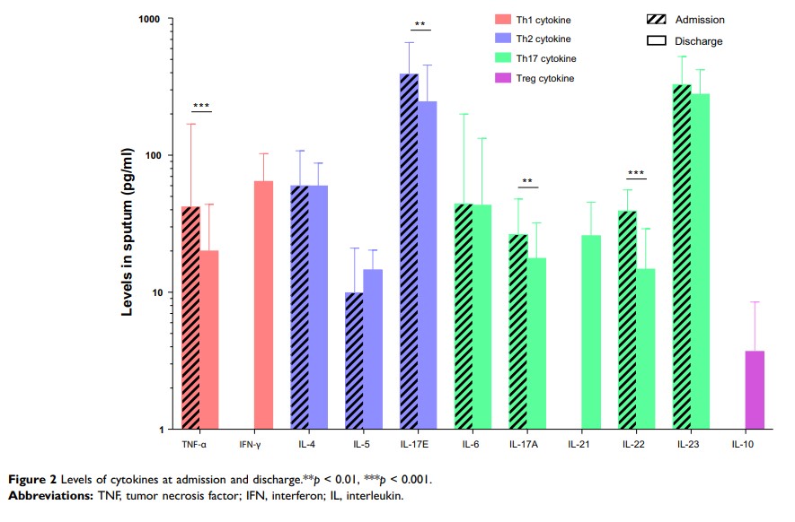
Th1/Th17 细胞因子谱与 COPD 患者的疾病严重程度和恶化频率相关

Original Research
采用 PPAR-γ 激动剂治疗可预防大鼠模型的高尿酸血症性肾病

Original Research
胰岛素样生长因子结合蛋白 2 促进肝细胞癌的增殖并预测不良预后

Original Research
P55PIK 通过与 P53 特定 DNA 结构域的互动来调节癌细胞中 P53 依赖性的细胞凋亡

Original Research
薯蓣皂苷配基和 GSK126 通过 Rho/ROCK 信号通路介导 EZH2,对胃癌细胞的上皮-间质转化产生协同作用
