论文已发表
注册即可获取德孚的最新动态
IF 收录期刊
Original Research
胺碘酮和奎尼丁的药物相互作用对依鲁司他(Eliglustat)在大鼠中的药代动力学影响

Original Research 简明总结
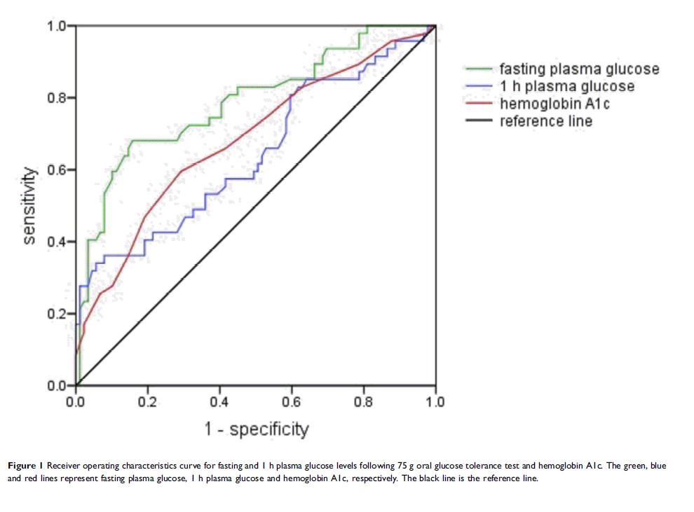
妊娠糖尿病患者妊娠期间胰岛素治疗和产后血糖代谢异常的预测指标

Original Research
慢性肾脏病患者外周血淋巴细胞中 Linc00342 表达的临床意义

Original Research
一线西妥昔单抗联合白细胞素、氟尿嘧啶和奥沙利铂(FOLFOX-4)与 FOLFOX-4 对 RAS 野生型转移性结直肠癌患者的成本效果分析比较

Original Research
CXCL14 在肝细胞癌组织中受抑制的表达及其在慢性 HBV 感染晚期数量的减少

Original Research
长非编码 RNA HCP5 通过 miR-140-5p/SOX4 轴促进口腔鳞状细胞癌的细胞侵袭和上皮-间质转化
