论文已发表
注册即可获取德孚的最新动态
IF 收录期刊
Original Research
丹参酮 IIA 通过 miR-133a-3p/EGFR 轴调节心肌细胞 H9c2 的增殖和凋亡,以改善 CAD 的进展

Original Research
成骨细胞 Cxcl9 的增加可促进绝经后骨质疏松症非耦合的骨形成与骨吸收

Original Research
人工神经网络模型用于乙型肝炎病毒相关肝细胞癌患者的肝硬化诊断

Original Research
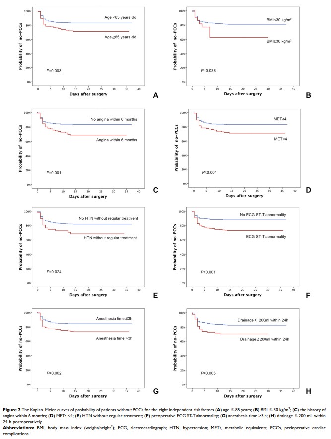
接受非心脏手术的 80 岁以上冠状动脉疾病患者的围手术期心脏并发症:发生率和危险因素

Original Research
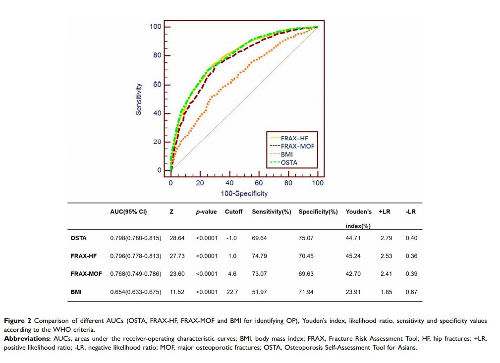
OSTA、FRAX 和 BMI 预测北京汉族人群绝经后骨质疏松症的比较:一项横断面研究

Original Research
空心普鲁士蓝纳米球用于光热/化学协同疗法
