论文已发表
注册即可获取德孚的最新动态
IF 收录期刊
Original Research
番茄红素通过抑制线粒体通透性转换孔开放来预防心肌缺血再灌注损伤

Original Research
环孢菌素 A 治疗亚洲人群特发性膜性肾病的疗效和安全性

Original Research
分析药物受益方案对中国城市老年人抗高血压药物依从性的影响

Original Research
人斯钙素 2(STC2)表达可提高鼻咽癌细胞放射后存活率,改善迁移和侵袭

Original Research
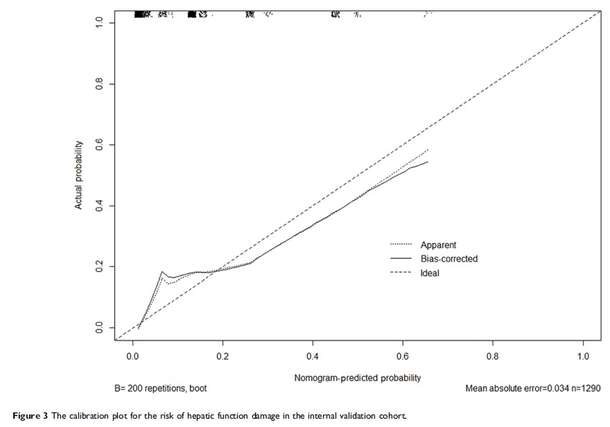
TBH 评分:预测和预防癌症患者化疗后严重肝损伤的新模型

Original Research
T1-2N1M0 期乳腺癌保乳手术后放疗与乳房切除术后放疗的长期效果比较
