论文已发表
注册即可获取德孚的最新动态
IF 收录期刊
Original Research
在超声辅助下、负载过氧化物酶体增殖物激活受体(PPAR)γ 激动剂的纳米颗粒微泡复合物可减轻肾间质纤维化

Review
基于全氟化碳的 19F 核磁共振成像在生物医学中的应用

Review
中药九味镇心颗粒用于治疗抑郁症:一个概述

Review
肥胖脂肪组织炎症和胰岛素抵抗的表征和治疗

Original Research
老年人延续使用共享护士意愿的影响因素实证研究

Original Research
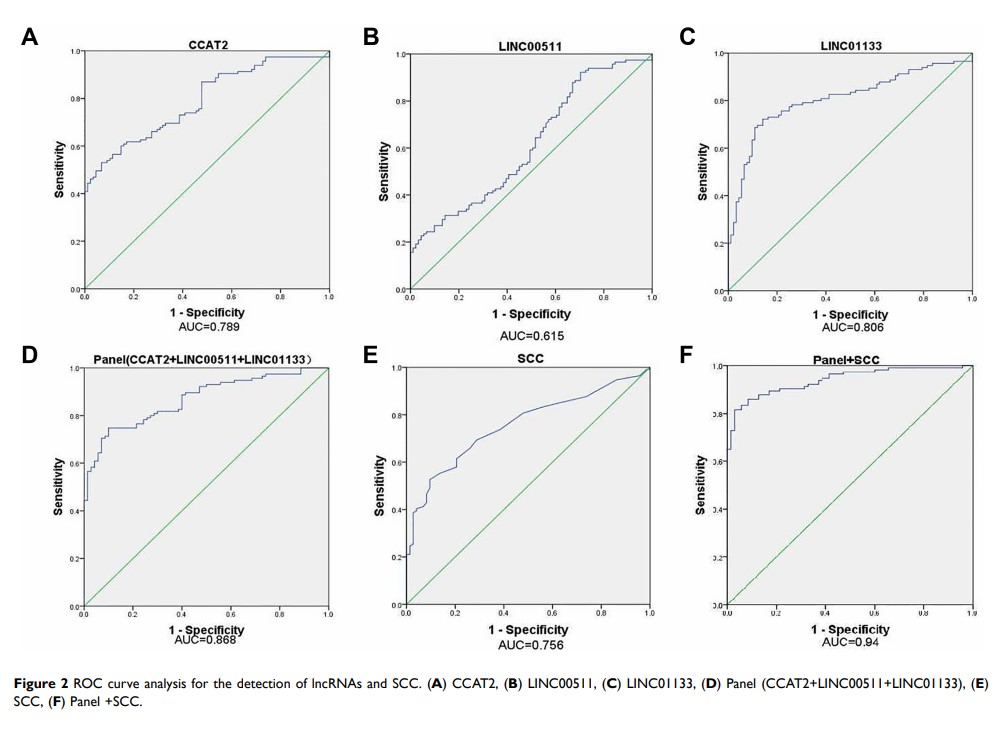
血清 lncRNA (CCAT2,LINC01133,LINC00511) 与鳞状细胞癌抗原组套作为检测宫颈鳞状细胞癌的新型非侵入性生物标记物
