论文已发表
注册即可获取德孚的最新动态
IF 收录期刊
Original Research
扁蒴藤素通过 miR-542-5p/DUB3 轴抑制乳腺癌进展

Original Research
ARPP-19 通过调节 CD44 来调控胃癌赫赛汀耐药性

Original Research
中国东北地区大连市肺结核患者延续护理期间药物依从性的决定因素

Original Research
N -乙酰基-1-亮氨酸-聚乙烯亚胺介导的 CpG 寡脱氧核苷酸 2006 递送可抑制 RAW264.7 细胞的破骨细胞生成

Original Research
黄芩苷经由 MiR-766-3p/AIFM1 轴激活自噬来保护人 OA 软骨细胞免受 IL-1β 诱导的细胞凋亡和 ECM 降解

Original Research
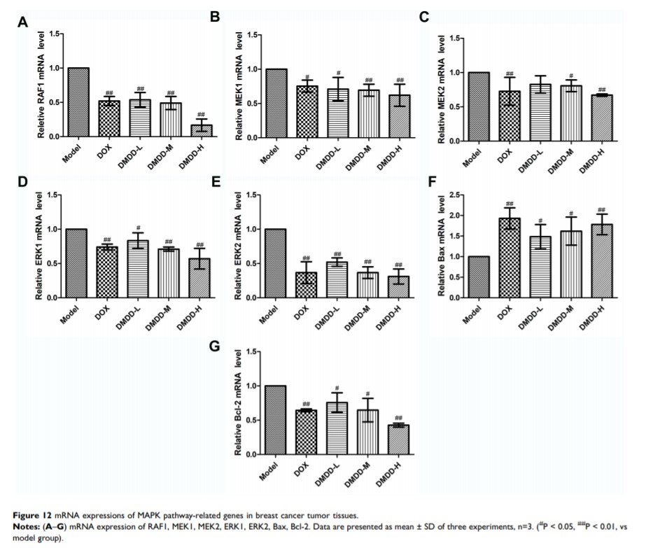
2-十二烷基-6-甲氧基-2,5-二烯-1,4-环己二酮通过 MAPK 信号通路在体内和体外的抗乳腺癌作用
