论文已发表
注册即可获取德孚的最新动态
IF 收录期刊
Original Research
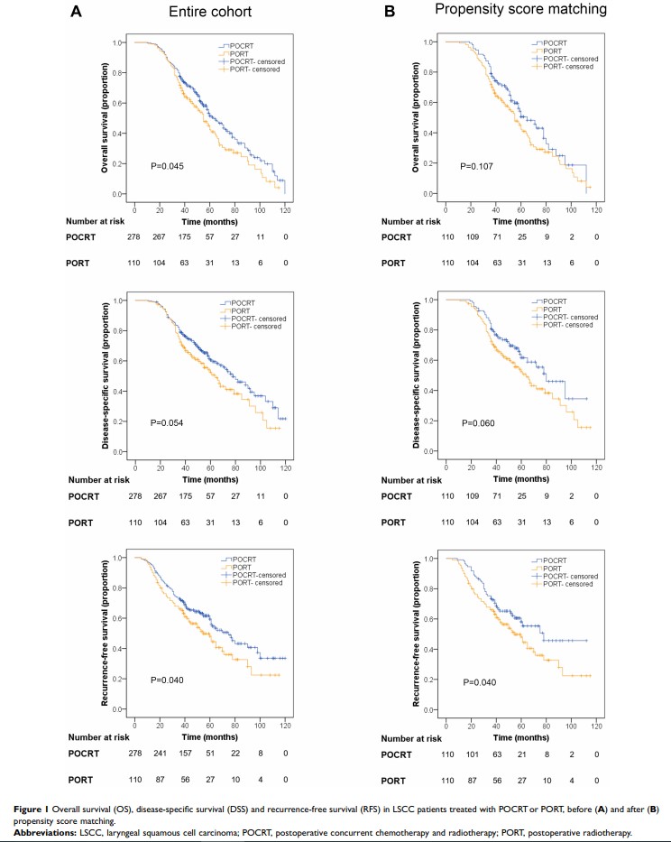
对喉鳞状细胞癌伴淋巴血管浸润的患者行术后同步放化疗与术后单独放疗的比较:倾向评分匹配研究

Original Research
内镜黏膜下剥离术治疗胃肠道间质瘤:一项回顾性队列研究

Original Research
LncRNA DANCR-miR-758-3p-PAX6 分子网络调节乳腺癌细胞的细胞凋亡和自噬

Review
中国政府如何对 COVID-19 肺炎采取非常规措施

Review
中国在 ChiCTR 和 ClinicalTrials.gov 平台注册的 COVID-19 临床试验的特征分析

Review
依鲁替尼在慢性淋巴细胞白血病中的作用:临床应用、耐药性及前景
