论文已发表
注册即可获取德孚的最新动态
IF 收录期刊
Original Research
中国 COPD 患病率的地理差异和相关因素:全国性横断面研究的空间分析

Original Research
lncRNA MALAT1 通过 miR-22-3p 海绵化来调节胃癌的奥沙利铂抗性

Original Research
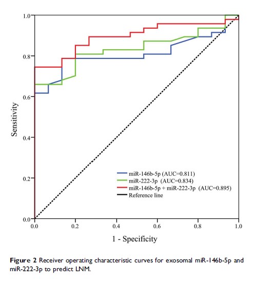
血浆外泌体 miR-146b-5p 和 miR-222-3p 是乳头状甲状腺癌淋巴结转移的潜在生物标志物

Original Research
KLF16 可影响前列腺癌的 MYC 标签和肿瘤生长

Original Research
LncRNA TUG1 通过在急性髓性白血病中调节 miR-193a-5p/Rab10 轴来调控细胞活力和

Original Research
DUSP9 通过 mTOR 通路抑制肾透明细胞癌的增殖和迁移
