论文已发表
注册即可获取德孚的最新动态
IF 收录期刊
Original Research
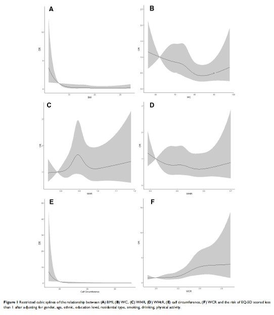
腰围与小腿围的比率是百岁老人 HRQoL 的独立危险因素

Original Research
非糖尿病人群的内脏脂肪指数和慢性肾病:一个横断面研究

Original Research
组蛋白甲基转移酶 SETDB2 在 AML1-ETO 阳性的急性髓系白血病(AML)中的致癌作用

Original Research
在同步放化疗中加入辅助化疗对于鼻咽癌治疗的双刃剑效应

Original Research
中介分析揭示了腹水影响上皮性卵巢癌患者复发的潜在生物学机制

Original Research
建立一个健康城市的指标体系:以某个城市地区为试点
