论文已发表
注册即可获取德孚的最新动态
IF 收录期刊
Original Research
MicroRNA-769-5p 通过靶向赖氨酸甲基转移酶 2A 促进神经胶质瘤细胞的生长

Original Research
抑制脊髓角质中单羧酸盐转运蛋白 1 可显著逆转慢性炎症性疼痛

Original Research
MST4 预测不良预后并通过推动胃癌的上皮-间质转化来并促进转移

Original Research
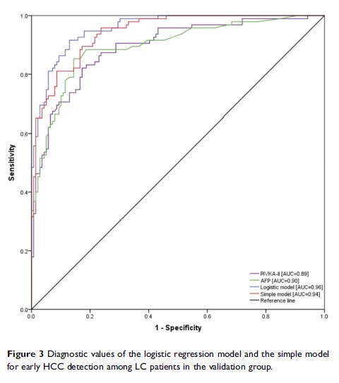
通过肝硬化队列对早期肝癌进行检测的简单模型的开发和验证

Original Research
超声靶向微泡破坏介导的局部肿瘤缺血再灌注可增强阿霉素化疗的抗肿瘤功效

Original Research
在硼替佐米为基础的化疗时代基于炎症指标的积分系统在初诊多发性骨髓瘤患者预后中的意义
