论文已发表
注册即可获取德孚的最新动态
IF 收录期刊
Original Research
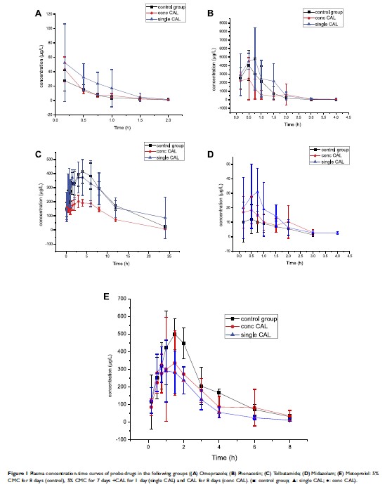
毛蕊异黄酮可影响大鼠中五种探针药物的代谢

Original Research
比较两种注射用重组人绒毛膜促性腺激素在中国健康受试者体内的药代动力学、生物等效性及安全性的研究

Original Research
黄 ical 苷通过 AMPK-mTOR 信号通路诱导自噬,可以保护人类皮肤成纤维细胞免受由紫外线 B 辐射而诱导的细胞凋亡

Original Research
Genipin 通过 PI3K/AKT/MTOR 信号通路诱导口腔鳞状细胞癌自噬并抑制细胞生长

Original Research
经过十年医疗改革后,门诊患者满意度:十堰市三级医院的一项跨部门研究

Original Research
中国上海地区伊丽莎白菌临床分离株的分子特征及药敏谱分析
