论文已发表
注册即可获取德孚的最新动态
IF 收录期刊
Original Research
豆甾醇通过减少氧化应激和使自噬失活来发挥抗缺血/再灌注损伤的神经保护作用

Original Research 简明总结
血清营养相关的生物标记物是否可以预测危重老年急性肾损伤患者的死亡率?

Original Research
铂纳米颗粒作为葡聚糖硫酸钠诱导的小鼠结肠炎的治疗剂

Original Research
长非编码 RNA SNHG16 使 miR-182-5p 和 miR-128-3p 海绵化,从而通过靶向 LASP1 促进视网膜母细胞瘤细胞迁移和侵袭

Original Research
氮透膜调节剂类似物 2 具有抗肿瘤作用,并可增强大肠癌细胞对奥沙利铂和 5-氟尿嘧啶的敏感性

Original Research 视频
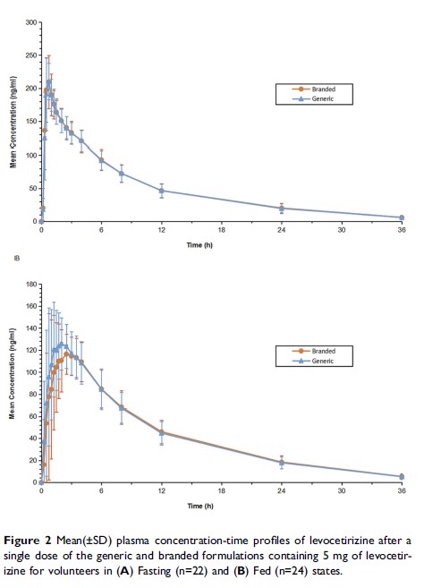
食物对中国健康受试者两种盐酸左西替利嗪制剂的药动学影响和生物等效性研究
