论文已发表
注册即可获取德孚的最新动态
IF 收录期刊
Original Research
脂质插入可通过肿瘤穿透双特异性重组蛋白促进负载有紫杉醇的红细胞膜纳米系统的靶向功能化

Original Research
免疫检查点分子 PD-1 辅助 CD8+T 细胞预测接受 TKI 治疗的 mRCC 患者预后

Original Research
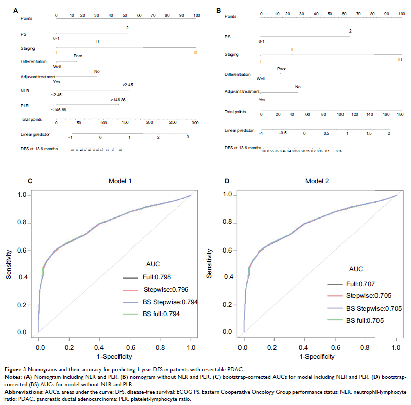
可切除的胰腺导管腺癌术前炎症标志物预后评分价值的比较和验证

Clinical Trial Report
专门设计的有氧健身操舞对轻度认知障碍的缓解作用

Original Research
慢性肾功能不全增加中老年髋部骨折患者术前深静脉血栓发生的危险

Review
萝卜硫素的化学预防活性
