-
Original Research 简明总结

- 作者:Marianna Broccolo, Nicolas Favez, Oliver Karam
- 期刊:International Journal of Clinical Transfusion Medicine
-
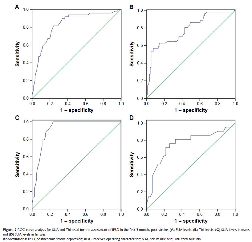
Original Research

- 作者:Jie Gao, Wei Xu, Kun Han, Lu Zhu, Lili Gao, Xiuli Shang
- 期刊:Neuropsychiatric Disease and Treatment
-
Original Research

- 作者:Chuanwei Xin, Zhu Dong, Mengmeng Lin, Gong-Hua Li
- 期刊:Patient Preference and Adherence
-
Original Research

- 作者:Chunmei Cui, Hong Lu
- 期刊:Clinical Interventions in Aging
-
Original Research

- 作者:彭春伟,刘九洋,杨桂芳,李雁
- 期刊:International Journal of Nanomedicine
-
Original Research

- 作者:Xia Wei, Zhengquan Ma, Nan Yu, Jingting Ren, Chenwang Jin, Jiuyun Mi, Meijuan Shi, Libin Tian, Yanzhong Gao, Youmin Guo
- 期刊:International Journal of Chronic Obstructive Pulmonary Disease