论文已发表
注册即可获取德孚的最新动态
IF 收录期刊
Original Research
非小细胞肺癌胸腔术后寡复发(Oligo-Recurrence)的临床特征和预后因素

Original Research
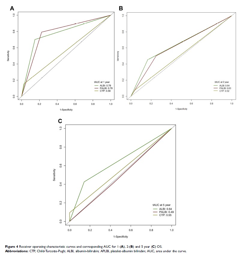
基于白蛋白-胆红素等级和血小板-白蛋白-胆红素等级进行的经肝动脉化疗栓塞联合冷冻消融治疗肝细胞癌(直径> 4cm)后的生存结果评估:初步研究

Original Research
转移性鼻咽癌患者全身化疗后使用 S-1/卡培他滨进行口腔维持化疗:一项单中心经验

Original Research
2018 年 FIGO 分期系统对 III 期宫颈癌中国队列患者的验证

Short Report
阿帕替尼治疗纤维肉瘤术后复发的疗效和安全性

Original Research
抑郁症大鼠模型的慢性应激干扰了纹状体、海马和小脑中的谷氨酰胺-谷氨酸-GABA 循环
