论文已发表
注册即可获取德孚的最新动态
IF 收录期刊
Original Research
手术切除的肺腺癌患者 EML4-ALK 重排的临床病理和预后意义:一项倾向评分匹配研究

Original Research
ZNF671 通过 Wnt/β-Catenin 信号通路抑制 NSCLC 的增殖和转移

Case Report
前体 B 细胞急性淋巴细胞白血病女性患者的整个 ABL1 基因缺失(没有 BCR/ABL1 基因重排)

Original Research 值得关注
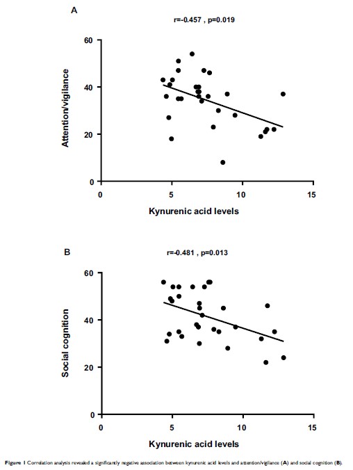
精神分裂症患者血浆犬尿酸升高与注意/警惕及社会认知受损有关

Original Research
永久性躯体形式疼痛障碍患者异常的以丘脑为中心的功能连接

Original Research
法舒地尔预处理的骨髓基质细胞经鼻腔给药用于帕金森病小鼠模型
