论文已发表
注册即可获取德孚的最新动态
IF 收录期刊
Original Research
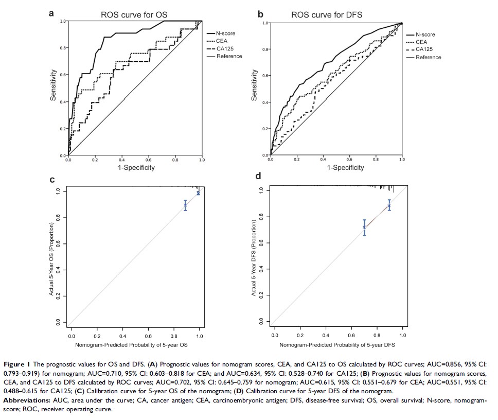
青年乳腺癌患者术前血清 CEA 和 CA125 水平及诺模图的预后价值

Original Research
骨髓间充质干细胞来源的外泌体抑制脊髓损伤大鼠补体的活化

Original Research 简明总结
Ras-ERK1/2 信号经由 CBP 调节 H2BK12ac,从而促进骨肉瘤的发展

Original Research
基线 FDG 摄入量和外周淋巴细胞-单核细胞比率预测食管鳞状细胞癌患者对放化疗的反应

Original Research
SOX2 表达的增加预示着上尿路尿道上皮癌的不良预后并促进了恶性表型

Original Research
转移性乳腺癌中的血小板减少:血液分布显示出明显的变化
