论文已发表
注册即可获取德孚的最新动态
IF 收录期刊
Original Research
CYP2B6 基因多态性可影响海南人群的慢性阻塞性肺疾病易感性

Original Research
长非编码 RNA XIST 可促进上皮性卵巢癌的恶性行为

Original Research
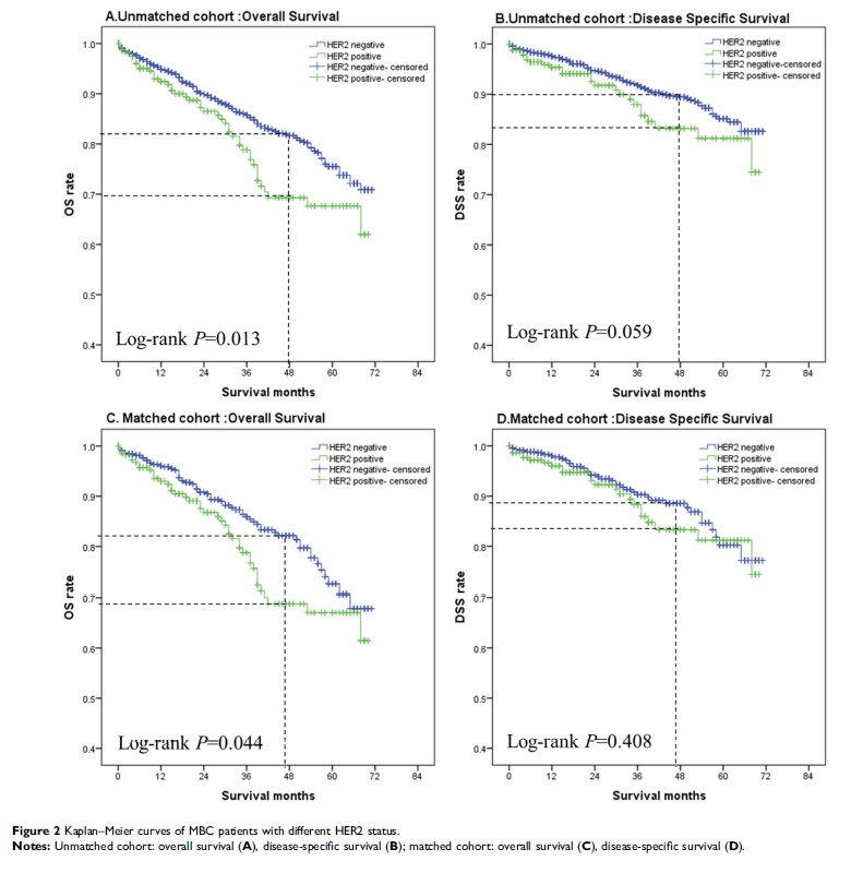
HER2 状况对男性乳腺癌预后的影响:一项基于人群的研究

Original Research
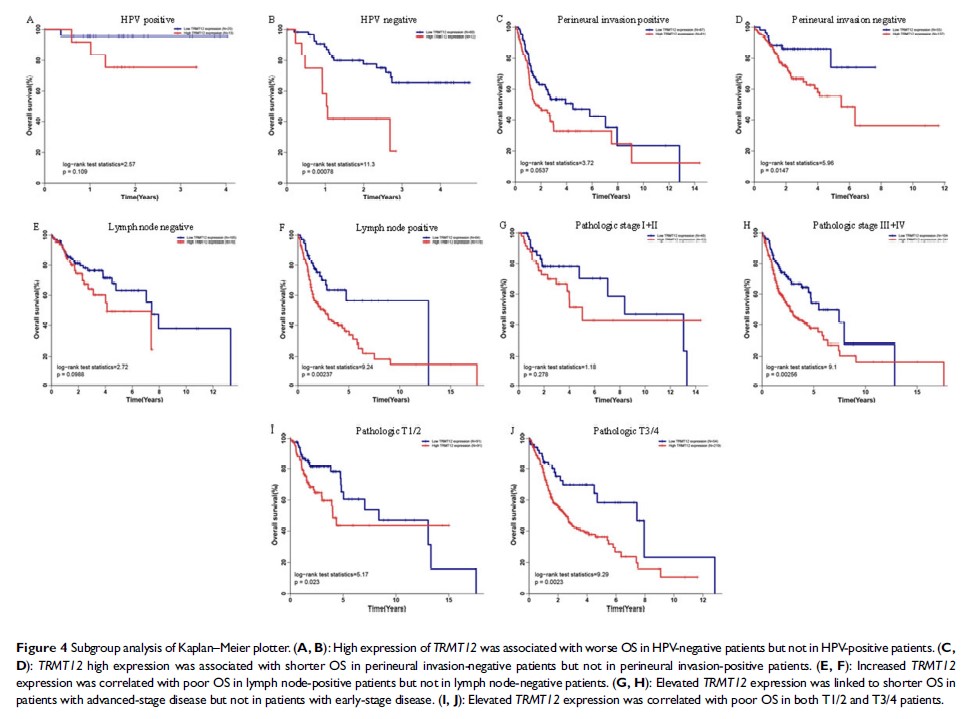
TRMT12 的过表达可能单独用于预测头颈部鳞状细胞癌患者的总体生存不良

Original Research
KRAS rs7973450 A>G 增加中国儿童神经母细胞瘤的风险:一项四中心病例对照研究

Original Research
cfa 基因在志贺菌对氨苄西林耐受中的作用
